大学生

2025-2026学年春季学期国家助学金评定结果公示

发布时间:2026-03-26 点击

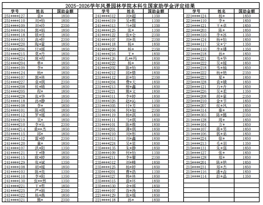
根据关于2025-2026学年春季学期本科学生家庭经济困难学生资格复查确认及国家助学金发放工作的通知(南林学工〔2026〕13号)要求和安排,经学生申请、学院审核,现公示2025-2026学年春季学期国家助学金资助金额初评结果。

自本公告发布起三日内(3月26日-3月28日),凡对初评结果有意见的,请以口头或书面形式向学院反映。

大学生 联系电话:85427280;办公室地点:南山楼9B301室。

                               大学生

                                      2026年3月26日